R.Gazete No: 33113
R.G. Tarihi: 20.12.2025
Enerji Piyasası Düzenleme Kurumundan:
PERAKENDE SATIŞ TARİFESİNİN DÜZENLENMESİ HAKKINDA TEBLİĞDE
DEĞİŞİKLİK YAPILMASINA DAİR TEBLİĞ
1
MADDE 1 -- 17/11/2020 tarihli ve 31307 sayılı Resmî
Gazete'de yayımlanan Perakende Satış Tarifesinin Düzenlenmesi Hakkında Tebliğin
4 üncü maddesinin birinci fıkrasının (s) bendinde yer alan "kanun," ibaresinden
sonra gelmek üzere "Cumhurbaşkanlığı kararnamesi, Cumhurbaşkanı kararı,"
ibaresi eklenmiş ve (öö) bendi aşağıdaki şekilde değiştirilmiştir.
"öö) Ülke tahsilat riski: Görevli tedarik
şirketlerinin tahsilat risklerinin uç değerlerden arındırılmış ağırlıklı
ortalaması esas alınarak hesaplanan ve şirket bazlı tahsilat riski hesaplamasında
en fazla %1 olarak dikkate alınan oranı,"
MADDE 2 - Aynı Tebliğin 5 inci maddesinin dördüncü
fıkrası aşağıdaki şekilde değiştirilmiştir.
"(4) Bir dağıtım bölgesindeki tüketicilerin
sınıflandırılması ve tüketici gruplarına uygulanacak perakende satış fiyatıyla
ilgili düzenlemeler tarife uygulamalarına ilişkin usul ve esaslarda yer alır.
Görevli tedarik şirketlerinin tarife uygulamalarına ilişkin usul ve esaslar, görevli
tedarik şirketlerinin önerileri de değerlendirilerek Kurul tarafından
belirlenir. Söz konusu usul ve esaslar tüm görevli tedarik şirketleri için
ortak belirlenebileceği gibi her bir görevli tedarik şirketi için ayrı ayrı da
belirlenebilir. Görevli tedarik şirketleri, Kurul tarafından ortak veya ayrı
ayrı belirlenen usul ve esaslara uymakla yükümlüdür."
MADDE 3 - Aynı Tebliğin 8 inci maddesine sekizinci
fıkradan sonra gelmek üzere aşağıdaki fıkra eklenmiş ve diğer fıkralar buna
göre teselsül ettirilmiştir.
"(9) Diğer denetim, danışmanlık ve müşavirlik
giderleri, dava, mahkeme, avukatlık, icra ve arabuluculuk giderleri, noter
giderleri, emsal kararlar dikkate alınarak ödenenler de dâhil olmak üzere
mahkeme kararı gereği oluşan tazminat harici giderler ve perakende satış
faaliyeti kapsamında oluşması muhtemel işletme giderleri; söz konusu giderler
ile kontrol edilemeyen işletme giderleri dışarıda tutularak belirlenen
düzenlemeye esas işletme giderinin Kurulca belirlenen oranda artırılması
suretiyle hesaplanan tavan içinde işletme gideri hesaplamalarında dikkate
alınır."
MADDE 4 -Aynı Tebliğin 9 uncu maddesinin dördüncü
fıkrasının (ç) bendi aşağıdaki şekilde değiştirilmiş, aynı fıkraya (ç)
bendinden sonra gelmek üzere aşağıdaki bent eklenmiş ve diğer bent buna göre
teselsül ettirilmiş, aynı fıkranın mevcut (d) bendi aşağıdaki şekilde ve aynı
maddenin altıncı fıkrasında yer alan "kısım" ibaresi "kısmın %90T' şeklinde
değiştirilmiştir.
"ç) Görevli tedarik şirketinin tahsilat riski ile
ülke tahsilat riski ortalamasının ilgili şirketin net satış hasılatı ile
çarpılması suretiyle bulunan tutar."
"d) Kamu kurum ve kuruluşlarına yapılan zorunlu
sorgulamalar ile bu sorgulamalara ilişkin veri tabanı kullanımından kaynaklanan
giderler."
"e) Ekonomik göstergelerde ve tarife
hesaplamalarını etkileyen parametrelerde yaşanan sapmaların etkisiyle meydana
gelenler de dahil olmak üzere; tarife uygulama dönemi içerisinde oluşan
ilave/yeni işletme giderlerinden Yönetmeliğin olağandışı halleri düzenleyen
hükmü kapsamında uygun görülenler."
MADDE 5 -Aynı Tebliğin 12 nci maddesine aşağıdaki
fıkra eklenmiştir.
"(3) Kurul tarafından uygun
görülmesi halinde, eşitlik (6) uyarınca yapılacak gelir farkı düzeltme bileşeni
hesaplamalarının tamamı veya bir kısmı perakende satış gelir tavanına daha önce
yansıtılabilir"
MADDE 6 -Aynı Tebliğin 14 üncü maddesi aşağıdaki şekilde değiştirilmiştir.
"MADDE 14- (1) Görevli tedarik şirketinin gerçekleşen perakende satış geliri (GPSGt-2) aşağıdaki eşitlik (10)'a göre hesaplanır:

MADDE 7 -Aynı Tebliğin 15 inci maddesinin
birinci ve üçüncü fıkraları aşağıdaki şekilde değiştirilmiş ve aynı maddeye
aşağıdaki fıkra eklenmiştir.
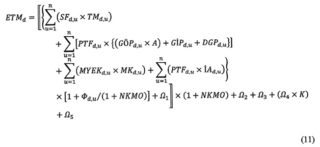
"(1) Görevli tedarik şirketinin d perakende satış tarife dönemi için öngörülen enerji tedarik maliyeti (ETMd) aşağıdaki eşitlik (11)'e göre hesaplanır:









MADDE 8 -Aynı Tebliğin 16 ncı maddesinin birinci fıkrası aşağıdaki şekilde değiştirilmiştir.
"(1) Görevli tedarik şirketinin enerji tedariki düzeltme bileşeni aşağıdaki eşitlik (13)'e göre hesaplanır:

MADDE 9 -Aynı Tebliğin 17 nci maddesinin
ikinci ve üçüncü fıkralarında yer alan "d perakende satış tarife döneminin ilk
gününden en az yirmi gün önce" ibareleri "ve sürede" şeklinde, dördüncü
fıkrasında yer alan "perakende satış tarife döneminin ilk gününden en az bir ay
önce" ibaresi "ve sürede" şeklinde değiştirilmiştir.
MADDE 10 -Aynı Tebliğin 20 nci maddesinin
ikinci fıkrasına "teşvikine" ibaresinden sonra gelmek üzere ",
sürdürülebilirliğin ve şeffaflığın artırılmasına" ibaresi eklenmiştir.
MADDE 11 -Aynı Tebliğin 22 nci maddesinin
birinci fıkrasının (b) bendinde yer alan "%75" ibaresi "%50" şeklinde, (g)
bendinde yer alan "%50" ibaresi "%25" şeklinde değiştirilmiştir.
MADDE 12 -Aynı Tebliğin geçici 1 inci
maddesi yürürlükten kaldırılmıştır.
MADDE 13 -Aynı Tebliğin geçici 2 nci
maddesine aşağıdaki fıkra eklenmiştir.
"(2) Bu fıkrayı ihdas eden Tebliğin yürürlük tarihi
öncesine ilişkin düzeltme işlemleri ilgili tarife uygulama döneminde yürürlükte
olan mevzuat kapsamında gerçekleştirilir."
MADDE 14 -Bu Tebliğ 1/1/2026 tarihinde
yürürlüğe girer.
MADDE 15 -Bu Tebliğ hükümlerini Enerji Piyasası Düzenleme Kurumu Başkanı yürütür.
----------o----------
Değişiklik yapılan Tebliğ;
Enerji Mevzuatı; EM/3154F.480 No.lu belgededir.